📣 New State Attendance Rules – What Families Need to Know
👨👩👧👦 Adams County Ohio Valley Schools
Ohio has updated how student attendance is tracked statewide with HB 96. Here’s what families need to know ⬇️
📊 What’s Changing?
Ohio now includes all absences (excused & unexcused) when identifying students who are chronically absent.
➡️ Chronic absenteeism = 10% of missed school days (about 2+ days per month)
➡️ Even excused absences count
🚨 Truancy Rules (Unexcused Absences Only – these laws remain the same)
⚠️ 30+ hours unexcused (consecutive)
⚠️ 42+ hours unexcused in one month
⚠️ 72+ hours unexcused in a year
📌 What Families Must Do
✔️ Call the school within 1 hour of the start of the school day
✔️ Send written documentation (note, email, doctor slip) when your child returns
❤️ Why This Matters
Missing school = missing:
✨ Learning
✨ Relationships
✨ Opportunities
STRIVE FOR 5 – EVERY DAY COUNTS
📚 Learn more about Ohio’s attendance laws: Attendance Support | Ohio Department of Education & Workforce
🌍 Why attendance matters: https://www.attendanceworks.org/
📞 Questions? Contact us:
District Wide: Tracy Spires – (937) 544-5586
WUHS/WUE: Guy Hopkins – (937) 544-5553/(937) 544-2951
OVCTC: Mike Parker – (937) 544-2336
NAE: Billy Bloom – (937) 386-2516
NAHS: Deirdre Mills – (937) 386-2528
PES: Sarah Louiso – (937) 587-2611
PHS: Marla Jones – (937) 587-2681
#Strivefor5 #EveryDayCounts #AttendanceMatters #LearningTodayLeadingTomorrow

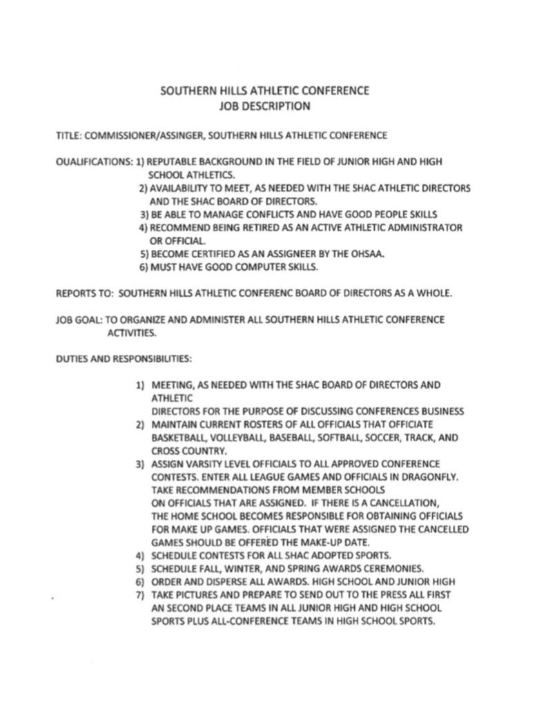
SHAC is dedicated to serving the young men and women in our member schools by offering quality athletic programs built on:
-High standards of sportsmanship
-Commitment to fair play
-Strong partnerships with excellent academic programs
We believe that great athletics help develop the leaders of tomorrow, and we’re proud to be part of that process.
Interested?
Please send a letter of interest and résumé to both contacts below:
Jamie Wilkins, SHAC Board President james.wilkins@rulh.us
Tim Carlier, SHAC Board Vice-President tim.carlier@fpls.us
Feel free to share or tag someone who would be a great fit for this role!



Come see what’s at your fingertips, explore programs, meet our amazing staff, and discover how you can become a Pioneer.

The ADAMS COUNTY OHIO VALLEY SCHOOL DISTRICT will hold a Regular Board Meeting December 15, 2025 @5:30 p.m. in the Ohio Valley CTC.
Reminder, tomorrow, Tuesday, November 4, 2025 is election day and school will not be in session.

ACOVSD wants to reassure you that there will be no disruption to the Free breakfast and lunch program provided to our students during the government shutdown. Our school meal program is fully funded and prepared to continue serving nutritious meals to all students without interruption.
Your child’s access to healthy meals remains our top priority, and we are committed to ensuring they are nourished and ready to learn every day. If you have any questions or concerns, please don’t hesitate to reach out to us directly.
Thank you for your continued support of our school nutrition program!
Kind regards,
Greg Grooms
Food Service
Adams County Ohio Valley Schools

Dear Parents and Guardians,
I want to reassure you that there will be no disruption to the Free meals provided to our students during the government shutdown. Our school meal program is fully funded and prepared to continue serving nutritious meals to all students without interruption.
Your child’s access to healthy meals remains our top priority, and we are committed to ensuring they are nourished and ready to learn every day. If you have any questions or concerns, please don’t hesitate to reach out to us directly.
Thank you for your continued support of our school nutrition program!
Kind regards,
Greg Grooms
Assistant Superintendent/Personnel/District Athletics/Food Service
Adams County Ohio Valley Schools
"Even the worst of beaches will never let you down." Jimmy Buffett

SAVE THE DATE! November 10th is Community Engagement Night at the CTC! If you plan to attend, complete 1 form per student: https://forms.gle/fbtgrq1sk1sc81yH7.

We love our four wheeling heros!
National School Bus Safety Week 2025 is being held from October 20–24, 2025. The theme is "Safe Rides, Everyday Heroes," which focuses on the importance of both student behavior on and around the bus, as well as the crucial role of the bus drivers.
Safety tips for students
Wait at a safe distance: Stay at least 10 feet (five giant steps) away from the curb while waiting for the bus.
Wait for the driver's signal: Only board the bus after it has come to a complete stop and the driver signals it is safe.
Board and exit safely: Always exit the bus when it has stopped and cross in front of the bus only after the driver signals it is safe to do so.
Be visible: When crossing the street, look left, right, and left again before crossing.
Stay seated: Once on the bus, stay in your seat and face forward.
Safety tips for motorists
Stop for the bus: When a school bus is stopped with red lights flashing and its stop arm extended, all vehicles traveling in both directions must come to a complete stop.
Wait for the signal: Remain stopped until the bus begins to move or the driver signals it is safe to proceed.
Slow down: Slow down in school zones and residential neighborhoods to be prepared for bus activity.




✨ Attendance Matters – And So Do You! ✨
Every day in school makes a difference. Did you know?
📌 A student is considered chronically absent if they miss 10% or more of the school year – that’s just 2 days a month. Even excused absences add up and can impact learning.
🍂 October is the perfect time for a fresh start! Let’s make this month our strongest one yet for attendance. Building good habits now helps students finish the semester strong.
💡 What families can do:
✔️ Make school attendance a priority – remember our district motto: Strive for 5: Every Day Counts! (Miss no more than 5 days all year).
✔️ Send a written parent/guardian note whenever your child is absent so we can keep records accurate and provide support.
✔️ Reach out if challenges come up – we are here to help.
When your student is here, they are learning, growing, and building their future. Let’s work together, because Every Day Counts! 🌟
#OctoberAttendance #StriveFor5EveryDayCounts #AttendanceMatters

Today WLWT News 5 visited West Union High School to embrace our own Hometown Hero. The story is set to air this evening, October 3, 2025 at 4:30 p.m. and 6:00 p.m. I hope you are able to catch the story and see our community and county shine.


📣 September is all about attendance!
Every day at school is an opportunity for your child to gain knowledge, build friendships, and reach their potential. Let’s work together to make sure every student is present, engaged, and succeeding!
⭐ Strive for 5 – Every Day Counts!
📊 Chronic absenteeism = missing 10% or more of school days
📝 Reminder: Please send a note if your child is absent
#AttendanceMatters #StriveFor5 #EveryDayCounts

📣 Reminder: September is Attendance Awareness Month! 📣
We miss our students when they’re not here! Every day is a chance to learn, grow, and connect with friends.
Strive for 5 — fewer than 5 absences this year
Every Day Counts — every day matters
If your child must miss school, please send a note when they return
📊 Chronic absenteeism = missing 10% or more of school days. Let’s keep kids in school and thriving! 🌟
#StriveFor5 #EveryDayCounts #AttendanceMatters




